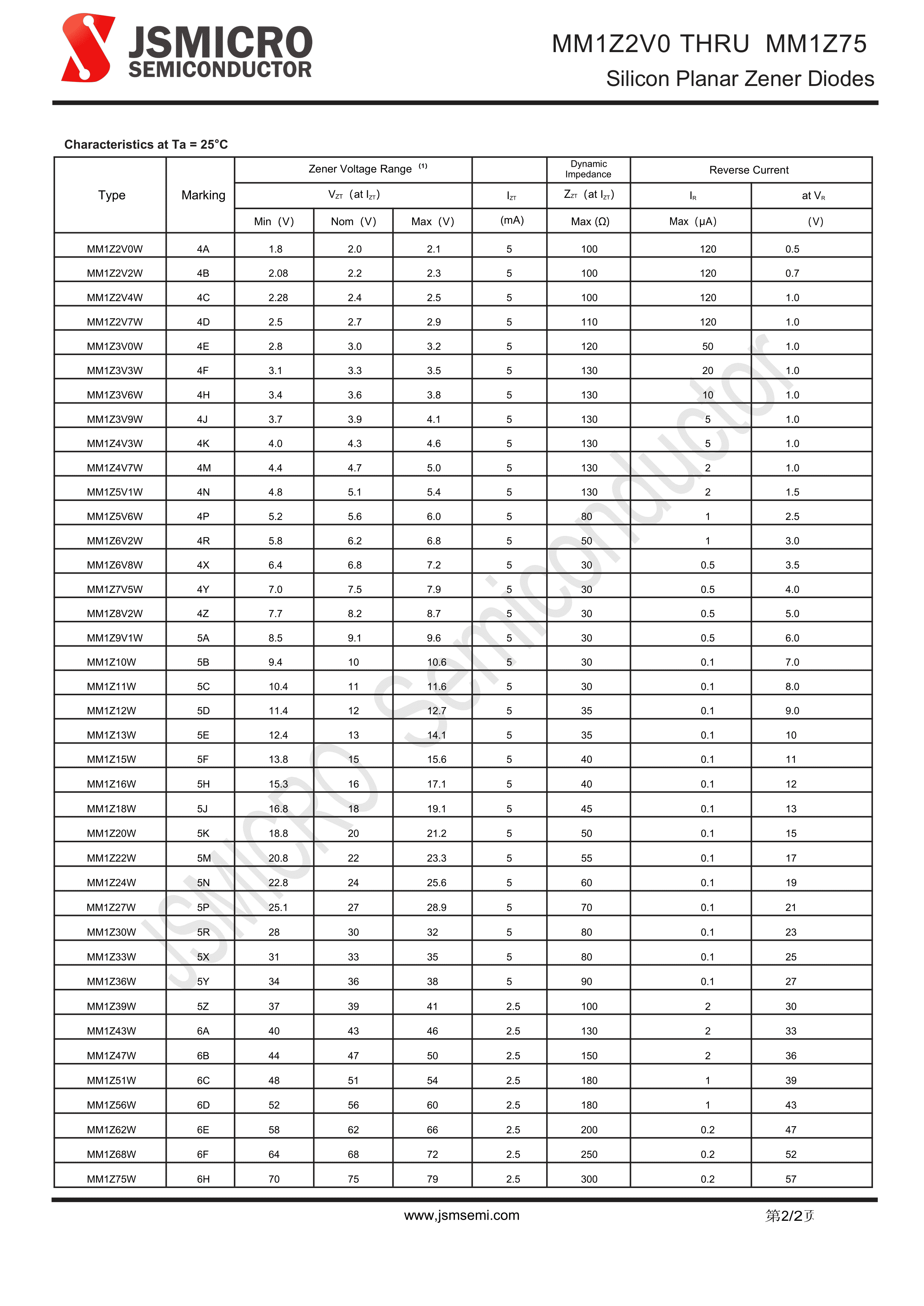
MM1Z2V7W数据手册SOD-123W封装JSMSEMI(杰盛微)PDF规格书,中英文下载
- 2022-07-07 16:14:00
- 杨工 原创
- 15
发表评论
页尾说明
|
移动访问
|