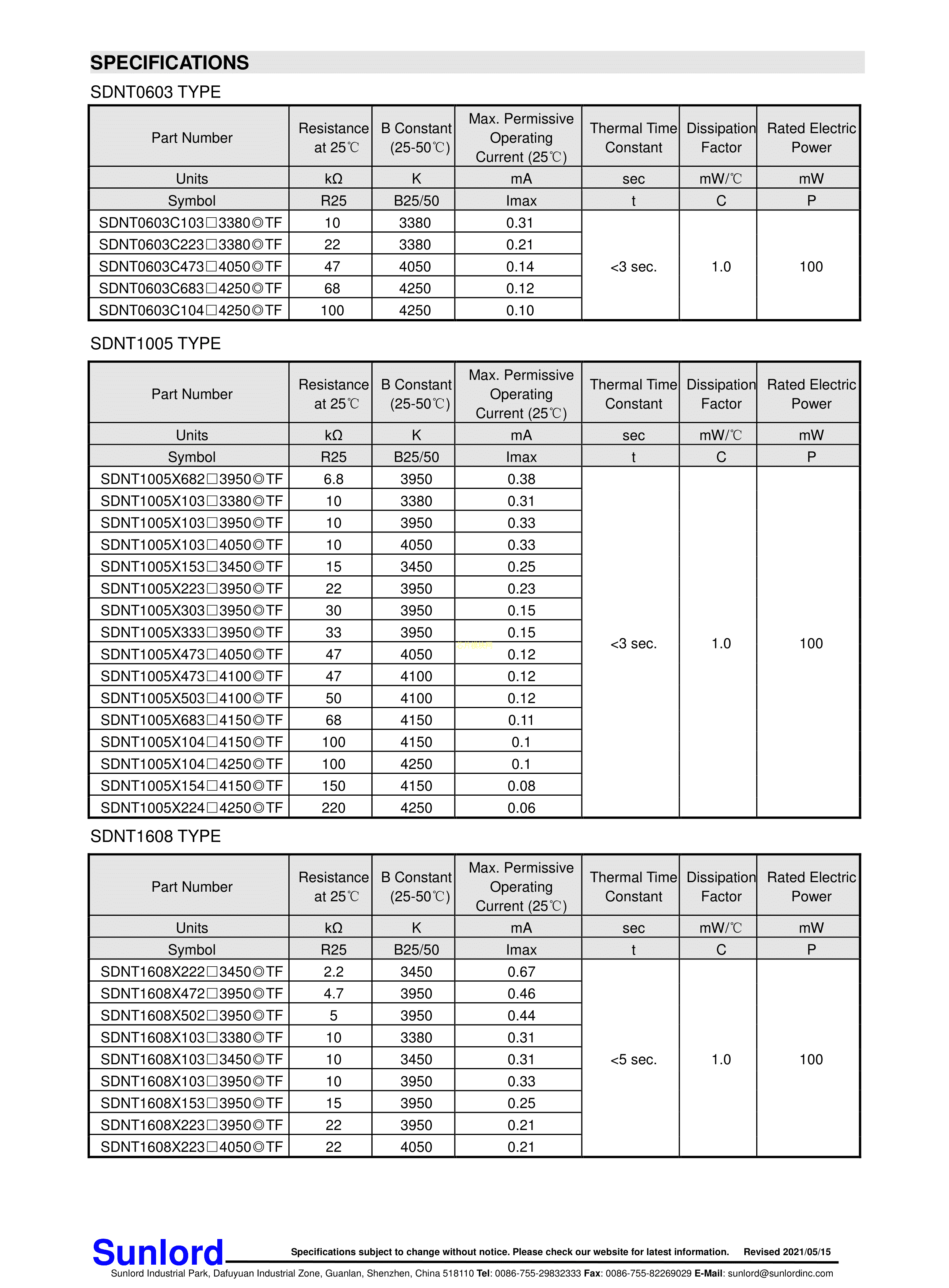
SDNT1005X104J4250FTF数据手册0402封装Sunlord(顺络)PDF规格书,中英文下载
- 2022-08-26 12:40:00
- zxj 原创
- 57
发表评论
页尾说明
|
移动访问
|