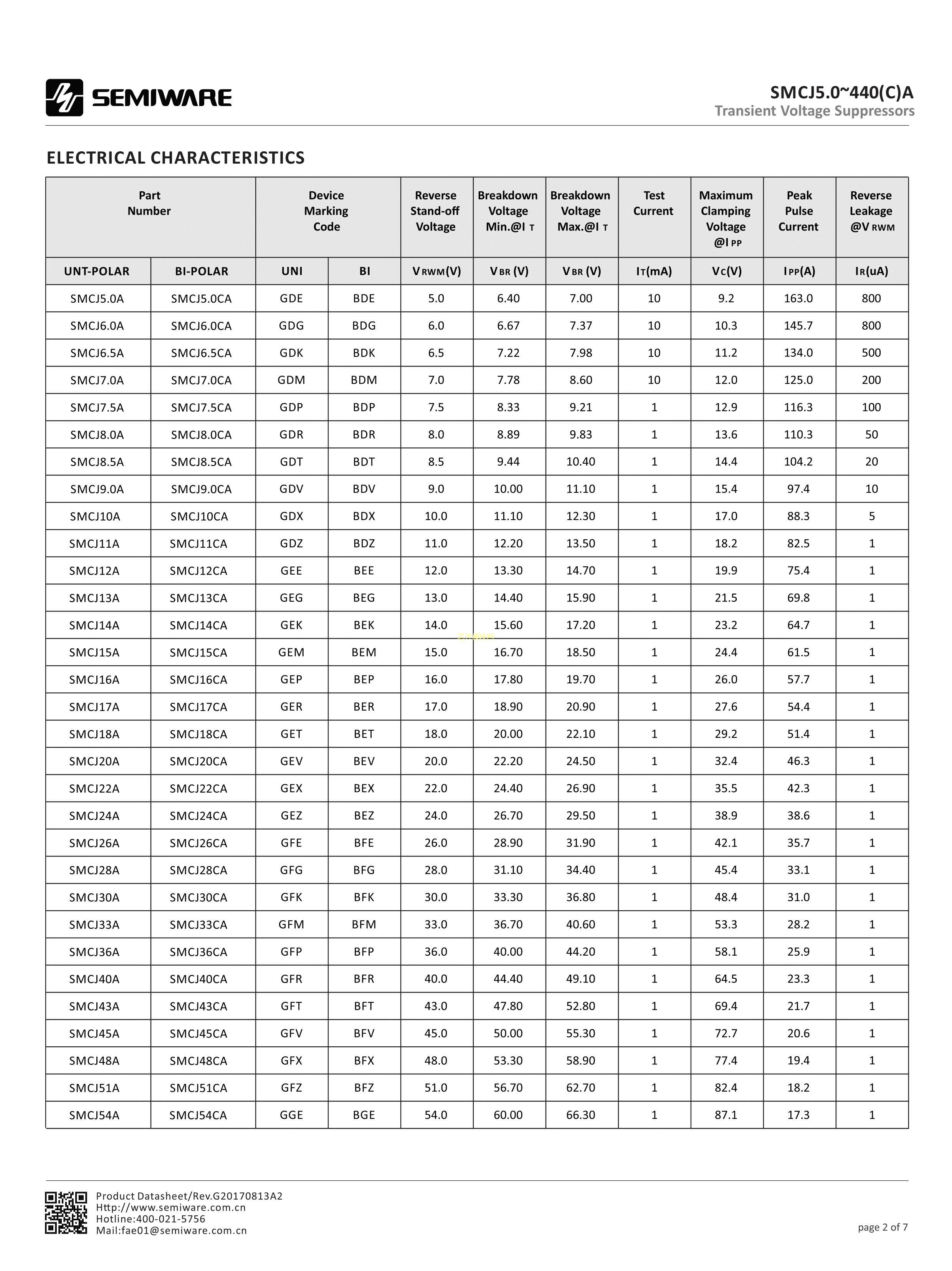
SMCJ24CA数据手册DO-214AB封装SEMIWARE(赛米微尔)PDF规格书,中英文下载
- 2022-08-04 00:18:00
- zxj 原创
- 13
发表评论
页尾说明
|
移动访问
|