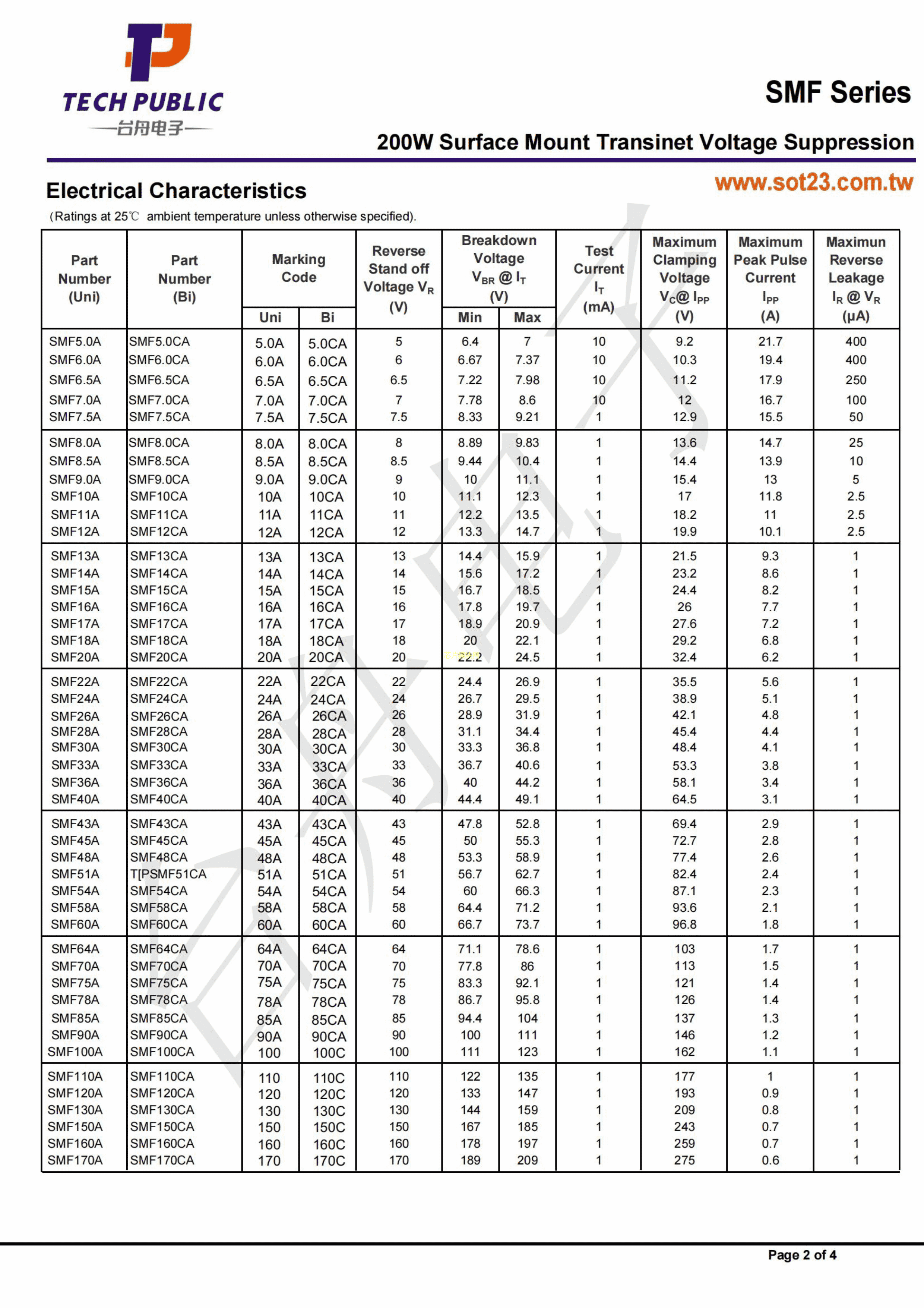
SMF5.0CA数据手册SOD-123FL封装TECHPUBLIC(台舟)PDF规格书,中英文下载
- 2022-08-17 21:32:00
- zxj 原创
- 21
发表评论
页尾说明
|
移动访问
|