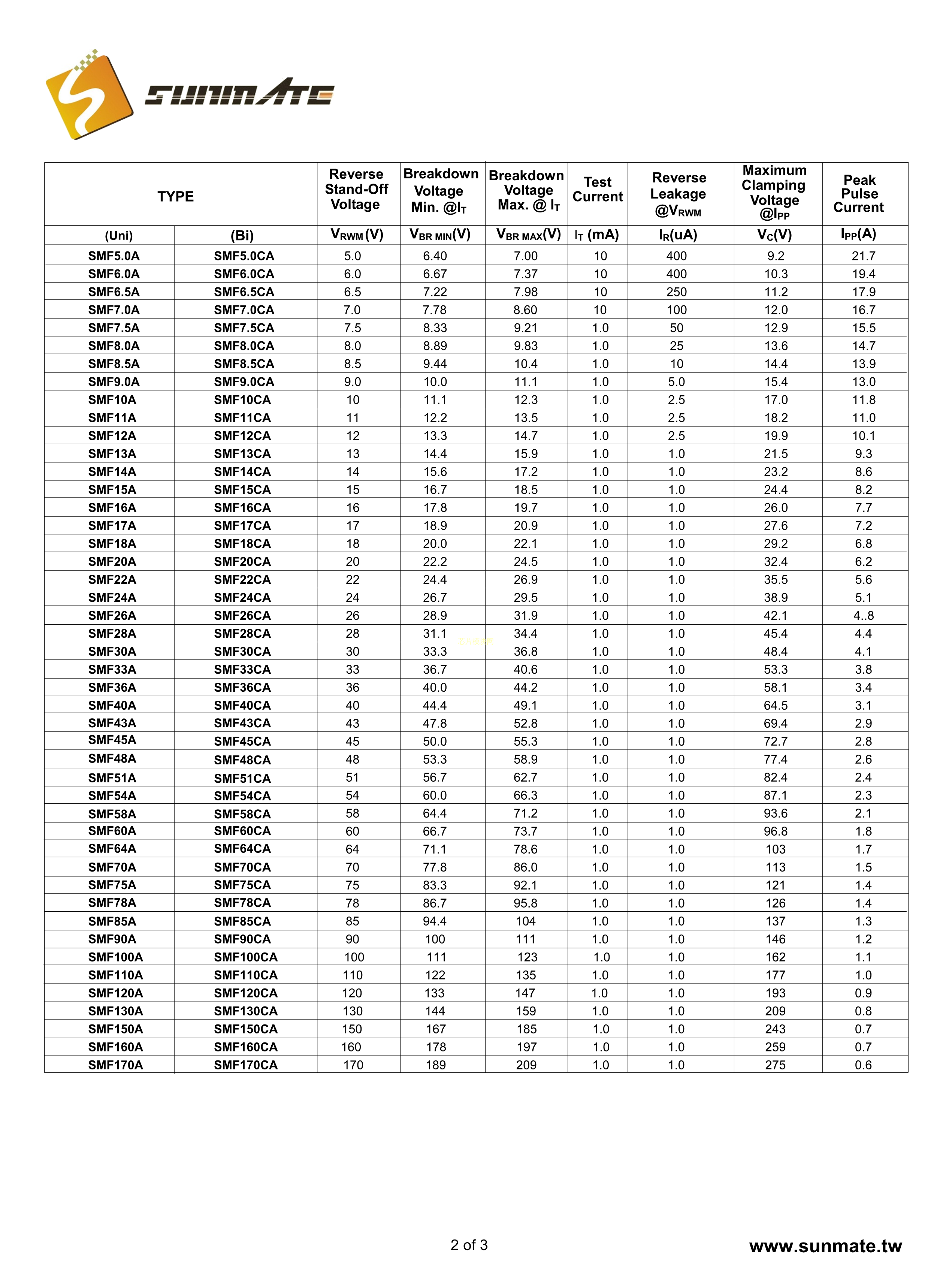
SMF8.5CA数据手册SOD-123FL封装SUNMATE(森美特)PDF规格书,中英文下载
- 2022-07-21 12:11:00
- gzh 原创
- 49
发表评论
页尾说明
|
移动访问
|